Glycolysis Flashcards

(28 cards)

1
Q

How can ATP be produced ?

A

Oxidation through aerobic glycolysis yields pyruvate - efficient
Fermentation by anaerobic glycolysis yields lactate - rapid, inefficient

There is oxidation of glucose by NAD+ during glycolysis

How well did you know this?
1
Not at all
2
3
4
5
Perfectly
2
Q

What are the roles of glucose ?

A

ATP production and providing the building blocks for synthetic reactiond

How well did you know this?
1
Not at all
2
3
4
5
Perfectly
3
Q

How does glucose provide the building blocks for synthetic reactions ?

A

Oxidation through pentose phosphate pathway → ribose-5-phosphate
-This is the recursor for nucleotide synthesis and DNA repair → growth

How well did you know this?
1
Not at all
2
3
4
5
Perfectly
4
Q

What happens in the absense of oxygen ?

A

Anaerobic metabolism
1) Pyruvate can act as a hydrogen acceptor, taking hydrogen ions from NADH
2) Pyruvate is converted into lactate and NAD is regenerated

Pyruvate + NADH + H+ = lactate + NAD+, H- from NADH

How well did you know this?
1
Not at all
2
3
4
5
Perfectly
5
Q

What supports the Warburg effect in cancer cells ?

A

Cancer cells have low Km hexokinase
-Supports rapid cell growth - energy production, pathways for nucleotide synthesis
-Produces H+ and lactate as end products
-Inefficient ATP synthesis with high glucose demand

How well did you know this?
1
Not at all
2
3
4
5
Perfectly
6
Q

What is anabolism and catabolism ?

A

Anabolism
-Building stuff, requires energy, reductive

Catabolism
-Breaking stuff, produces energy, oxidative

How well did you know this?
1
Not at all
2
3
4
5
Perfectly
7
Q

What is glucose eventually oxidised to ?

A

Full oxidation of glucose produces C02 and H20

How well did you know this?
1
Not at all
2
3
4
5
Perfectly
8
Q

Which organ loves yummy yummy glucose the most

A

Greedy Brain
-Accounts for 20% of glucose use but only 2% of body weight
-If blood sugar drops, brain sees symptoms first; many neurological issues related to metabolism

How well did you know this?
1
Not at all
2
3
4
5
Perfectly
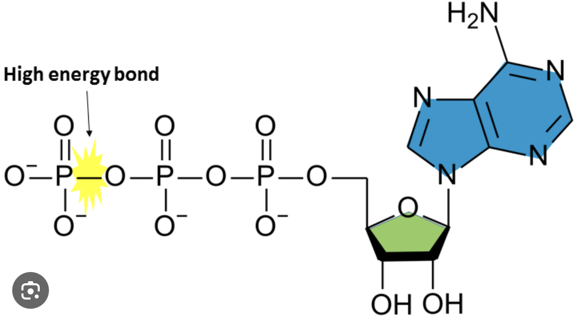
9
Q

Which bond in ATP is of the highest enery

A

This one

How well did you know this?
1
Not at all
2
3
4
5
Perfectly
10
Q

What is glucotoxicity ?

A

Mammalian cells/tissue cannot tolerate chronic hyperglycemia
-Glucose toxic at high conc
-Ketoacidosis and if chronic, micro/macrovascular disease
-Diabetes issues

Glucose stored as an inert polysaccharide, glycogen
-In liver, muscle, brain

How well did you know this?
1
Not at all
2
3
4
5
Perfectly
11
Q

What are the four fates of glucose ?

A

Glycolysis to produce pyruvate then oxidation
-Efficient ATP Production by oxidative metabolism
-Involves oxidative phosphorylation after glycolysis

Glycolysis to produce pyruvate then fermentation
-Occurs when no oxygen
-Produces lactate
-Rapid, ineffeicient ATP production

Oxidation through Pentose Phosphate Pathway
-Produces Ribose-5-phosphate, a precursor for nucleotidesynthesis & DNA repair and Essential for Growth

Conversion to Glycogen or lipids for storage

How well did you know this?
1
Not at all
2
3
4
5
Perfectly
12
Q

How is glucose transported into cells ?

A

Via Na+/glucose symporter
-Passive facilitated diffusion by GLUT glucose transporters
-Different GLUT transporters are found in cells of different tissues and have different Km values; low Km means transport glucose at lower concs

Km = substrate conc when reaction rate is half of max (Vmax)

How well did you know this?
1
Not at all
2
3
4
5
Perfectly
13
Q

Which tissues have which glucose transporters ?

A

Brain
-GLUT 1 and 3, both low Km

Liver and pancreas beta-cells
-GLUT 2, high Km and insulin independent

Muscle and adipose tissue
-GLUT 4, Insulin-dependent

Gut
-GLUT 5 , does fructose transport

Brain is always hungry for glucose

How well did you know this?
1
Not at all
2
3
4
5
Perfectly
14
Q

What is glycolysis and its steps ?

A

Glycolysis is the the initial pathway for the conversion of glucose to pyruvate

1) Glucose phosphorylation to fructose-1,6-bisphospate
-Requires energy; 2ATP to 2ADP
-Phosphofructokinase converts 6 to 1,6
2) Froctose-1,6-biphosphate to 2x triose phosphate three-carbon carbohydrates
-By aldose
3) Triose phosphate oxidation produces pruvate from each
-4ATP generated from 4ADP
-2NAD+ reduced to 2NADH and 2H+

Per glucose there is a net gain of 2ATP, 2NADH and 2H+

How well did you know this?
1
Not at all
2
3
4
5
Perfectly
15
Q

Describe pyruvate kinase in controlling glycolysis

A

Controls conversion of phosphoenolpyruvate to pyruvate (product exit)

How well did you know this?
1
Not at all
2
3
4
5
Perfectly
16
Q

What is the overall equation for glycolysis ?

17
Q

What are the control points of glycolysis ?

A

Three enzymes catalysing irreversible reactions

Hexokinase; glucose retention
Phosphofructokinase; rate of glycolysis
Pyruvate kinase; product exit

(Also glyceraldehye 3-phosphate, not an enzyme)

18
Q

Describe hexokinase inhibition control of glycolysis

A

Hexokinase catalyses glucose + ATP -> glucose-6-phosphate (G6P) + ADP
-Phosporylation of glucose traps it in cell
-High levels of G6P inhibits hexokinase; feedback inhibition
-Prevents further cell glucose retention; cell doesnt take on too much glucose
-Occurs in response to high glucose conc

High glucose conc; glycolysis producing G6P outruns oxidative phosphylation so G6P accumulates

19
Q

Describe glyceraldehye 3-phosphate in controlling glycolysis

A

Matches the rate of reaction to the rate of NADH regeneration

20
Q

Describe Phosphofructokinase activation in controlling glycolysis

A

Is a key enzyme that controls the rate of substrate movement in glycolysis (rate-limiting)
Catalyses fructose-6-phosphate to fructose-1,6-bisphosphate in glycolysis
-Activated by AMP – increases glycolysis when energy is needed

21
Q

Describe Phosphofructokinase inhibtion in controlling glycolysis

A

ATP
-Slows glycolysis if energy abundant

Citrate
-TCA cycle intermediate. Slows downstream pyruvate entry to TCA cycle if energy abundant

H+
-Slows glycolysis if too much lactic acid is being produced in anaeorbic respiration

These are all negative feedback

22
Q

Why is AMP the positive regulator of phosphofructokinase, and not ADP?

A

ATP rapildy used; ADP + Pi
Adenylate kinase salvages energy in ADP; 2ADP -> ATP + AMP
-This means ADP usually at quite consistent levels in cell so energy levels measured by looking at ATP and AMP

23
Q

What is energy charge ?

A

The ATP/AMP ratio
-Cell if fully “charged” if all adenylate nucleotides are ATP
-Cell is “discharged” if only contains AMP and Pi

Cell usually somwhere between fuly charged and discharged

24
Q

Where does NADH and H+ from glycolysis go ?

A

Electron transport chain for ATP synthesis

NAD+ regeneration means oxidising NADH to NAD+

25
What happens to pyruvate in anaerobic respiration/fermentation ?
Terminal electron acceptor is normally oxygen, but here it is pyruvate -NADH gives electron to pyruvate which forms lactate -This regenerates NAD+ | NADH donating electron = gives hydride, H-
26
What is the Warburg effect ?
Cancer cells produce energy by high rate of glucose metabolism to lactate to spam division; anaerobic glycolysis -Inefficient but quick Cancer can be treated by targeting glycolysis -patients given enzymes which act around control points | May be done due to poor tumour blood supply
27
How do cancer cells get loads and loads of yummy yummy glucose ??
Cancer cells generally have low Km Hexokinase which increases glucose movement into the cell -Drinks glucose even when it is at low concentration -Causes weightloss
28
How can products of glycolysis aid tumour growth ?
Produces H+ and lactate -Lactate damages tumour-infiltrating T cells and NK cells and activates immune suppressive cells